以下内容主要针对对SEO有一定基础的人员。没基础的需要先学习
1、为什么要研究关键词?
确保目标关键词有人搜索
降低优化难度
寻找有效流量
搜索内容多样性
发现新的机会,利用关键词工具,挖掘新的关键词
2、关键词的选择
内容相关,搜索次数多,竞争小;主关键词不可太宽泛;主关键词也不可太特殊;
3、关键词竞争程度判断
搜索结果数越少越好,达到几十万,关键词有一定难度,需要质量和网站权重都不错。结果数达到一两百万以上,关键词热门。新网站排名到前几的可能性大大降低。需要坚持扩展内容,建立外链,达到一定域名权重才能成功。
竞争对手情况,必须要去详细了解。看看其网站做了哪些关键词内容,哪些没有做的。我们可以做哪些关键词和内容,做出差异性,并且相比之下更优秀。
4、竞争对手的研究
域名权重相关数据,网站用户体验,网站输出价值,网站优化情况
1、避免蜘蛛陷阱
例如:flash、框架结构(Frame)、javascript链接,以及带有过多参数的动态URL还是不利于蜘蛛爬行
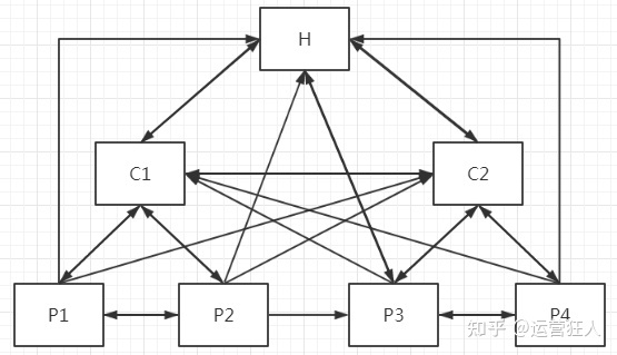
2、链接结构可参考下图

3、清晰导航
合理的导航及分类名称,面包屑导航,站内搜索,相关链接等
4、robots协议
搜索引擎访问网站时会访问这个协议文件,看是否有被禁止抓取的内容。只要你不想被抓取的内容都可以写进去,具体怎么写很容易,随便找一个优化做的好的网站查看就行。
5、URL静态化
尽可能对URL静态化,对优化更有利。对于搜索引擎,真正的静态和伪静态没有区别
6、网站地图
必不可少,通过网站地图,搜索引擎可以跟踪链接爬行到网站所有主要部分,从而提高被抓取收录的可能性
7、404页面
页面不存时,一定要返回404代码,及时对404页面地址提交给搜索引擎。
1、页面标题(title)
避免重复,准确相关,字数限制(官方说法是65个字节左右),避免堆砌关键词。通常标题格式为:详情页标题—分类目录名称—网站名称

2、描述标签(description)
描述标签对关键词排名没有直接影响,但是对点击率有一定影响;搜索结果摘要除了来自描述标签,还可能来自SE自动抓取页面可见文字的相关段落,也可能使用开放目录说明文字,与标题标签一样,站长可以使用noodp标签禁止;字数限制77个中文字符,保险起见,不超过70个中文字;
3、关键词标签(keywords)
对SEO几乎没有影响
4、正文优化
目前的情况,只需要正常更新(避免采集、抄袭即可),内容足够优质,讲解有深度就有机会被收录并参与排名
5、H标签
文章标题使用H1,包含最重要的关键词。文章中小标题使用H2,可以包含辅助关键词或相关词语。如果还有更小的标题,可以使用H3。再低层的标题意义不大。不可滥用,一篇文章只有一个主标题,H1只出现一次。
6、ALT文字
在图片ALT属性中以简要文字说明图片内容,同时包含关键词即可。
7、精简代码
精简代码也有助于提高页面打开速度,速度是搜索引擎排名因素之一。对移动搜索排名影响更大
外链的价值
来自相关性高,权威网站的导入链接,有助于提升排名;
外链可以提升被连接页面和域名权重、信任度;
外链越多,发出链接的网站本身权重越高,说明被链接的页面受更多人的信任和尊重。投向一个页面的权重和信任度,也会累计在整个域名上;
反向链接数目越大,投票越多,对排名越有利;
什么样的链接是好链接
点击流量,外部链接是提高排名的最直接手段,但点击流量才是链接的最初意义;
单向链接,**的外部链接是对方站长主动给予的单向链接,不需要链接回去;
寻找外链时,只关注正规网站,不必考虑垃圾网站、色情赌博等违法内容网站;
网站目录提交
寻找网站目录,看竞争对手都在哪些目录中被收录;
网站提交,建议在提交目录时,只选择相关性高、质量比较高的目录
友情链接
寻找相关性高,网站整体权重及流量都不错的网站进行交换,通常情况难度越大越优质
效果监测
做效果监测的目的是为了工作进行到某个阶段,才能验证之前的优化工作是否做到位了。如果做的还不够好,就需要相应的复盘来进行调整。
策略改进
1、收录不充分是哪些原因造成的?
是否链接结构有问题?还是指向这些分类的内部链接太少?是否需要给收录不充分的分类建立外部链接?有问题的分类内容和页面优化上有什么与其他分类不同的地方?
2、关键词排名下降
很多时候一部分关键词排名下降,另一部分上升很正常,尤其是下降幅度在几位到十几位之内时;
如果大部分关键词排名同时下降,很可能说明网站被惩罚,或者SE算法的某个改动影响整站排名;
遇到关键词排名整体下降时,通常建议先按兵不动一个月左右。因为有时候排名下降是因为SE调整引起的,SE还可能会继续微调,最终使排名恢复;
如果一到两个月后排名没有变化甚至下降更多,则需要研究下排在前面的有没有新的竞争对手。有哪些方面是自己网站不足的;
用户行为影响排名
搜索引擎能收集到的用户行为数据几乎都会影响排名;
网站流量、点击率、网站粘度、重复搜索以及相应的点击、品牌名称搜索等;
避免过度优化
外链链接锚文字都使用目标关键词;
获得的链接都来自高权重网站;
外部链接锚文字与页面标题、H1标签高度吻合;
外链短时间内快速增长
移动搜索优化
独立URL的移动版本
自主适配
通过百度搜索资源平台,把PC版和移动版的URL一一对应的关系告诉搜索引擎;用户访问时,根据设备类型进行相应的转向,需要将用户自动转向到对应的移动版本/PC版本;
URL不变的移动版本
CSS控制布局排版,导航的简化,JS控制某些内容(如广告、侧栏)的删减,网站根据屏幕宽度,通过CSS调整页面显示宽度及其他布局,使页面适合于手机浏览,称之为“自适应”“响应式”,使用URL不变的移动版本,需要添加标注:
<mata name="applicable-device" content="pc,mobile">
移动版本的优化
PC网站优化的原则及方法绝大部分同样适用于移动网站;
减少和优化图片,删减内容,简化导航,精简代码,文件越小越好,页面打开速度才会相应提高,简化的布局在手机上用户体验也更好;
确保用户可以访问到内容,弹窗、强制下载APP、访问受限、大面积广告都不行;
页面显示、交互功能是否正常,是否不需要放大就能看清文字、点击链接;
搜索引擎的目标
满足搜索用户,搜索引擎打击垃圾网站内容。
相关性、权威性、实用性
网站内容的相关性,可通过页面优化和链接优化来达到
网站及网页的权威性(权重):高质量外链越多,权威性越高;网站稳定性;内容作者本身权威性;域名注册历史
网站的实用性:用户体验,用户行为对优化有影响;页面上能一眼看到文章正文吗?你的网站有什么其他地方看不到的内容?
保持自然和平衡
避免SEO手段用到**,做了SEO却看起来像没做SEO
没有SEO秘籍
比如网站收录可以归纳为两条:页面必须有导入链接,搜索引擎才能发现;页面距离网站首页点击距离越近越好
影响网站SEO策略和手段的因素
内容是原创为主还是转载为主?
CMS系统是开源的还是自己设计的?
产品分类有多少种,能否使网站尽量扁平化?
技术部门是否配合,内容编辑部是否具备基本SEO知识?
能投入多少人力物力,能耐心等待多长时间?